Versioning in ActivePivot : Epoch and branches
One of the strong points of ActivePivot is its native handling of data temporality through version control.
It is possible to configure the application so that the state of the data at any given point stays available during the entire lifetime of the application.
A user can also easily design a what-if scenario, introduce the corresponding data into the Datastore, perform an analysis of said scenario then drop that scenario if needed.
Concepts
Before going further, it is important to introduce some concepts that will be used for understanding versioning in ActivePivot:
Multi-version Concurrency Control
Multi-version Concurrency Control (or MVCC) is the concurrency control method used within ActivePivot to allow for fast concurrent transactions and queries.
If a user is reading from a database at the same time as another user is writing to it, it is possible that the user who is attempting to read will see a half-written or inconsistent piece of data.
There are several ways to solve this problem, known as concurrency control methods. The simplest way is to make all readers wait until the writer is done, which is known as a lock.
If the writer brings consequent changes to the database, this can be very slow for the awaiting readers. Thus, ActivePivot, through its MVCC mechanism, takes a different approach: each user connected to the database sees a snapshot of the database at a particular instant in time. Any changes made by a writer will not be seen by other users of the database until the changes have been completed (or, in database terms: until the transaction has been committed into the Datastore.)
The consequence of this concurrency control method is the existence of components being "snapshot" each time a transaction is committed.
Those components implement the IMultiVersion interface and are called multi-versioned. The most important multi-versioned components are the Datastore and the Pivot instances themselves.
Epoch
In ActivePivot, an
Epochcan be seen as an "enriched timestamp".
Epochs are created when a transaction is committed on a Datastore:

The Epoch Counter is set to 0 at system startup. A timestamp is recorded for Epoch 0.
The Epoch Counter is incremented whenever a transaction is committed to the Datastore. The Epoch Counter (otherwise known as Epoch Id) becomes the new version number for the Datastore. For each new epoch, a new timestamp is also recorded.
A section is dedicated to Epochs here.
Branches
A branch is a succession of epochs. Branches allow the system to handle and navigate multiple timelines.
Every Epoch belongs to a branch, which corresponds to the specified branchName when committing the transaction.
If no branch is specified on commit , master is the only branch created by default.
Branches allow for smart and localized data loads or updates(for analyzing a scenario for example) that do not affect the main branch, other scenarios, and do not compromise the data on any other branch.
A section is dedicated to Branches here
Versions and MultiVersion
An
IVersion(or version) in ActivePivot corresponds to the state of a multi-versioned component for a givenEpoch.
Whenever a transaction commits on any store within the Datastore, the Epoch Counter is incremented and a new version of the Datastore is created. The Epoch Counter becomes the version number of the new Datastore.
This means that every committed transaction implies a new version of the Datastore, however this is not the case for all multi-versioned components.
Minimalist example
Let's consider the following example: Within the Datastore, there are two stores, the Risk store and the Forex store.
No data from the Forex Store is ever used within the Cube. The Forex Store exists purely to provide parameters for post-processing. It does not contribute to any pivot tables.
The Risk Store is the base store within the Datastore and there are no references between the Risk Store and the Forex store.
When a transaction commits in the Forex Store, no new ActivePivot version will be created, because the cube is not directly affected by anything in the Forex store.
So a new version of the Datastore will be created (with an incremented Epoch Counter as its Id), but NOT a new ActivePivot version.
The ActivePivot version is associated with an Epoch, but not necessarily the same one as the latest version of the Datastore.
The Epoch of any version can be found by using the getEpoch() method of the IVersion interface.
Note about ActivePivot versions: Each time an ActivePivot version is created, a new instance of the Aggregates Cache and Post-processors defined in the cube are associated with the new version.
The illustration below shows transactions committing on either the Risk Store or the Forex store for the presented example:

Epochs and Epoch Management
As mentioned earlier, an Epoch is created each time a transaction is committed in the Datastore. For each epoch, depending on the nature of the transaction, multi-versioned components may or may not hold a version associated to this epoch.
As long as the epoch is considered valid, all corresponding versions will be kept by their respective multi-versioned components, this automatically implies a memory cost (and the potential performance cost) of keeping multiple epochs and their associated versions.
It is possible for the user to access information about the state of the Datastore or the Cube for past epochs, provided the epoch was not discarded. The next section illustrates how one can query past epochs, and how the epoch management policy can be modified to comply with the user's needs.
Epochs
Since the Epoch counter is incremented each time a transaction is committed, it may be hard to keep track of what are the available epochs on a running ActivePivot application.
The IAdvancedEpochManager interface controls the creation of new epochs, gives access to the latest epoch, and can create version history for multi-versioned components that want to record their versions.
The manager exposes multiple beans for managing epochs (and branches) and is responsible for applying the Epoch Management Policy on the application during its lifespan.
Information about valid epochs
Epochs can be marked as released, meaning that a version corresponding to that epoch may be discarded and garbage collected if no other epoch hold it. Release of old epochs is performed accordingly to the EpochPolicy of the application, or can be performed manually through MBeans exposed by the EpochManager.
The interface for multi-versioned components exposes the latest available versions through the IMultiversion.getMostRecentVersion() method. Access to older versions is dependent on the component's implementation.
The method AEpochManager.getEpochsUsage() is available as a MBean and provides statistics about the versions held by each multi-versioned component of the application as well as the released and discarded epochs.
Querying epochs
Although access to past versions is not directly available through the IMultiversion interface, methods are available in order to query the "past" versions of the application.
Datastore Queries
Past versions of the Datastore can be queried by providing the Datastore version corresponding to the query when creating a new QueryRunner.
Queries performed on this QueryRunner instance will return data corresponding to facts as-of the provided epoch.
Cube Queries
The Epoch dimension is available when performing MDX Queries and allows for complex cross-epoch calculations
Epoch management
As mentioned earlier, the interface responsible for epoch management is the IAdvancedEpochManager, which will enforce the EpochPolicy that was provided to it.
The epoch manager and its EpochPolicy are defined when building the Datastore description:
datastoreBuilder.setEpochManagementPolicy(IEpochManagementPolicy policy);
or
setEpochManager(IAdvancedEpochManager epochManager);
to customize the management of Epoch for the application.
The default EpochPolicy is the KeepLastEpochPolicy, which is a policy that keeps only some latest epochs, according to creation time criteria and/or number epochs criteria.
The default configuration of this epoch policy implies that old epochs may only be discarded when a commit happens or when a garbage collection cycle is triggered by the JVM. This can however be customized further:
datastoreBuilder.setEpochManagementPolicy(
new KeepLastEpochPolicy().setEpochsToKeep(20).setTimeToKeep(5000))
will force the application to keep at least the 20 latest epochs and at least 5 seconds of history.
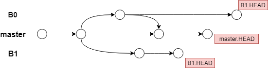
Branches in ActivePivot
Git's implementation of a versioned system is remarkably well known amongst developers. It uses two dimensions for navigation: the first one holds the branches while the second one represents the time, the succession of actions performed.

This section will focus on the versioning system implemented in ActivePivot, and its fundamental differences with Git's implementation. It will also detail the What-If feature and its interaction with ActivePivot's versioning system.
Design specificity and implications
ActivePivot uses a VersionHistory to link all the versions of the components using MVCC together. This VersionHistory is always linear, even with multiple branches.
Branch information is held in the HistoryNodes of the VersionHistory, which is created temporally, commit after commit:

It is possible to define, use and navigate through branches with ActivePivot:
By default, there is only one branch called
master.When feeding data into a datastore, each transaction can be applied from any existing branch and committed on any other branch, creating a new one if needed.
Once created, it is possible to continue committing data on a branch and update its head (the latest version of a branch)
There are however operations that are limited or not possible with branches in ActivePivot:
When performing a transaction, only the mentioned branch will be updated. If some data must be committed on multiple branches, a transaction must be performed on each of the impacted branches.
In a distributed environment, the Query Cube does not have an epoch dimension by default. In order to support the
EpochDimensionin a query node, it must be specified when building the cube definition. To learn more about what-if in a distributed environment, see What-if.It is not possible to merge or rebase branches in ActivePivot. Once a branch is created, it is not possible to make it "catch-up" any other branch.
It is also worth mentioning that Indexed aggregate providers are multi-versioned components as well and therefore support branches. As a consequence, they contribute to the memory consumption of each branch by holding pre-aggregated data. Note that it is not the case for the Just-In-Time aggregates provider, as aggregates are computed on the fly.
Creating and using branches
Branch creation
Branches can be specified when starting transactions and using the following signatures:
ITransactionManager.startTransactionOnBranch( String branchName,
String... storeNames)
or
ITransactionManager.startTransactionFromBranch( String branchName,
String parentBranchName,
String... storeNames)
Note that branch will be only be created once the transaction is committed and the corresponding epoch is created:
ITransactionManager.commitTransaction();
Queries on branches
It is possible to perform a query on any version of any branch as long as the specified Epoch is still valid. The query's results will correspond to the data as it was at the specified epoch within its corresponding branch.
For more information about the EpochPolicy management, see the corresponding paragraph.
The Datastore REST API allows the user to perform branch-specific queries on the Datastore. Note that the query will return data corresponding to the HEAD of the requested branch.
The Epoch Dimension's Branch/What-if level allows the user to analyse their aggregated dataset along a scenario or another by simply changing the member of the Epoch Dimension queried by the MDX code.
Deleting branches
When a branch is no longer necessary, it can be dropped to free the memory held by the versions corresponding to its underlying epochs and their associated versions.
It is possible to delete a branch by calling the EpochManager.releaseBranch(String branchName) from the EpochManager interface, which is available as a MBean named dropBranch.
Note that a branch can only be dropped if it does not contain the latest version. If the branch contains the latest version, it will be dropped after the next commit.
Similarly, a branch will be effectively dropped if none of the related versions are being used.
Displaying the existing branches
In order to keep track of the existing branches on an ActivePivot application, the following method EpochManager.getBranches() is available and returns the names of the current valid branches. The application also exposes a MBean named showBranches()
that will print various information about branches such as the first epoch of a branch, the latest epoch of a branch and the epoch on which a branch was created.
Branch Management
In order to manage the memory consumption related to data from old Epochs, an IEpochManagementPolicy must be defined when building a datastore.
This policy determines which Epochs can be discarded, and are therefore no longer accessible for queries.
By default, the policy is set to KeepLastEpochPolicy which will only guarantee to keep a single epoch alive, no matter which branch.
This policy is not recommended when using branches in ActivePivot, in which case it is recommended to use at least a KeepLastBranchEpochPolicy which will at least keep the head of all the defined branches, as well as their fork point.
This can be done by calling
.setEpochManagementPolicy(new KeepLastBranchEpochPolicy())
when building the datastore.
What-ifs
The concept of "What-if" in ActivePivot is the idea of performing a business-related Projection or Simulation that does not alter the main dataset (e.g. the master branch).
By using the concept of branches presented above, it is possible to perform a memory-efficient modification of the dataset on a new branch, investigate that scenario, then return to the master branch to leave the scenario.
Branch usage and performances
Thanks to the linear design of branches in ActivePivot, using branches does not imply an additional memory usage cost. Moreover, there is no inherent cost incurred by the used branches count increase.
However, the current design leads to the following caveat:
Performing a commit on a branch B will have a time cost equal to the cost of this commit in a branch-less scenario PLUS the cost of reverting the state of the store from its current head to the head of the branch B. Unfortunately for us, this additional cost is uncorrelated to the commit itself, but depends not only on the operations that occur on the datastore, but also on the order on which they occurred.
Epoch dimension
In order to perform cross-epoch or cross-branch analysis it is possible to rely on the Epoch Dimension for MDX queries.
The Epoch Dimension is a dimension which permits the retrieval of values from previous versions of the cube and the building of new indicators based on time.
The Epoch Dimension can only used in MDX queries but NOT inside post processors.
The Epoch dimension is by default composed of a hierarchy named after the dimension , with two levels : Branch and Epoch:
Dimension: Epoch
Hierarchy: Epoch
Levels: Branch > Level
- master
+- Epoch 1
+- Epoch 3
- Branch Scenario 1
+- Epoch 2
The Branch level is populated by branches on which a transaction was committed (for more info about Branches, see the related documentation)
Configuration
In the cube description, the following line must be entered directly after after the other dimensions:
.withEpochDimension()
The XML description equivalent is:
...
</dimensions>
<epochDimension enabled="true"/>
<measures>
...
By default, the Epoch dimension will create an Epoch dimension with a single Branch level available on the Epoch hierarchy. The above call however returns a builder that can let the user customize further the epoch dimension and its two levels : Branch and Epoch :
.withEpochDimension()
.withinFolder("f")
.withMeasureGroups("mg")
.withEpochLevel()
.withFormatter("FFF")
.end()
Note that the Epoch Dimension must be defined entirely in one call of the builder, or an error message will be prompted.
Disabling the dimension for some users
It is possible to restrict the usage of the Epoch dimension. The dimension can be disabled for some users while the dimension is enabled for others by attaching an MdxContext to their roles, using the following method:
context.setDisableEpochDimension(true);
Misc
- Calculated members which use the Epoch dimension can be defined :
WITH MEMBER [Measures].[pnl.SUM AVG] AS
AVG([Epoch].[Epoch].CurrentMember.Lag(5):[Epoch].[Epoch].CurrentMember.Lead(5), [Measures].[pnl.SUM])
SELECT {[Measures].[pnl.SUM], [Measures].[pnl.SUM AVG]} ON COLUMNS,
[Epoch].[Epoch].[Epoch].Members ON ROWS
FROM cube
The previous snippet defines a Calculated Member corresponding to the rolling average of the pnl.SUM aggregated measure, with a centered 10 epoch-wide window:

The members that are available in the dimension depend on the Epoch Management Policy. The released epochs are not available in the dimension.
The name of the Epoch dimension can be changed to "Branch" (useful if the epoch level is disabled) by setting the following property:
activeviam.mdx.epoch.dimension.legacyName=falseThis will impact the final MDX send to the server. To change the name of this hierarchy and its levels according to user domain names, use the Internationalization feature .
Efficient queries and Examples
Efficient queries
The filters on the Epoch dimension must be performed inside sub-selects.
The 2 following queries will return the same results (i.e. the values of pnl.SUM for 5 epochs):
Inefficient Query :
SELECT [Measures].[pnl.SUM] ON COLUMNS,
Subset([Epoch].[Epoch].[Epoch].Members, 0, 5) ON ROWS
FROM cube
Efficient Query :
SELECT [Measures].[pnl.SUM] ON COLUMNS,
[Epoch].[Epoch].[Epoch].Members ON ROWS
FROM (SELECT Subset([Epoch].[Epoch].[Epoch].Members, 0, 5) ON 0
FROM cube)
The MDX engine evaluates the cells before building the axes. Because of this behavior, the MDX engine will, for the first query, retrieve the values of pnl.SUM on all the available versions of the cube and then only display 5 of them.
The second query creates a restriction on the Epoch dimension due to a sub-select. As the sub-selects are computed before the cells of the pivot table, the MDX engine will only retrieve the values of pnl.SUM for the 5 selected epochs.
Queries and Real-Time
With the Epoch dimension, the user has the ability to look in the past. Some of the queries will receive real time updates if the AllMember member is not filtered out by the sub-select filtering the Epochs.
Here are some examples:
|
The following query will receive real time updates.
One new row will appear for each new version : SELECT [Measures].[pnl.SUM] ON COLUMNS,
[Epoch].[Epoch].[Epoch].Members ON ROWS
FROM cube
|
|
|
As this query aims to display the value of Epoch 20 from the branch master,
this query will not receive real time updates. SELECT [Measures].[pnl.SUM] ON COLUMNS,
[Epoch].[Epoch].[Epoch].Members ON ROWS
FROM (SELECT [Epoch].[Epoch].[Branch].[master].[20] ON 0
FROM cube |
![]() |
|
This query is like the previous one but uses a subselect to choose 2 epochs.
SELECT [Measures].[pnl.SUM] ON COLUMNS,
[Epoch].[Epoch].[Epoch].Members ON ROWS
FROM (SELECT {[Epoch].[Epoch].[Epoch].[10],
[Epoch].[Epoch].[Epoch].[12]} ON 0
FROM cube)
|
|
|
This query that displays the five oldest epochs will never be updated because the MDX engine cannot register continuous queries on past Epochs.
SELECT [Measures].[pnl.SUM] ON COLUMNS,
[Epoch].[Epoch].[Epoch].Members ON ROWS
FROM (SELECT Tail([Epoch].[Epoch].[Epoch].Members, 5) ON 0
FROM cube)
|
![]() |
|
This query will always display the five most recent epochs.
SELECT [Measures].[pnl.SUM] ON COLUMNS,
[Epoch].[Epoch].[Epoch].Members ON ROWS
FROM ( SELECT Head([Epoch].[Epoch].[Epoch].Members, 5) ON 0
FROM cube)
|
![]() |
Feature Limitations
In a distributed environment, the Epoch Dimension cannot be enabled in a Query Cube.
The MDX Function
Aggregatecannot be used on the members of the Epoch dimension.


